Serba-serbi
Cara Menghitung Hambatan pada suatu Kawat Penghantar
Hambatan pada suatu Kawat Penghantar. Seperti halnya dalam arus lalulintas terkadang bisa terhambat macet karena jalannya yang memang sempit atau jumlah kendaraan yang begitu banyak, arus listrik yang mengalir pada suatu kawat penghantar atau kabel juga mengalami suatu hambatan yang dimiliki oleh kawat yang dialiri arus. Walaupun biasanya hambatannya sangat kecil.
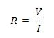
Seorang ahli fisika berkebangsaan Jerman, Georg Simon Ohm, Ohm menyatakan berdasarkan dari eksperimennya bahwa arus listrik yang melalui suatu penghantar besarnya sebanding dengan beda potensial yang diberikan pada ujung-ujung penghantar tersebut. Kemudian Ohm mendefinisikan 1 ohm sebagai hambatan yang digunakan dalam suatu rangkaian yang dilewati kuat aus sebesar 1 A dengan beda potensial 1 Volt. Sehingga, kita dapatkan pengertian hambatan yaitu perbandingan antara beda potensial dengan kuat arus.
Sering kita jumpai bermacam-macam bentuk kabel, mulai dari yang besar sampai yang paling kecil, dari yang harga Rp. 10.000 sampai yang harga Rp. 1.500 per meternya. Besarnya hambatan yang dimiliki oleh kawat penghantar yang ada di dalam kabel besarnya berbeda-beda. Perbedaan ini disebabkan oleh kawat penghantar yang memiliki hambatan yang berbeda. Besarnya hambatan dipengaruhi oleh hambatan jenis, panjang, dan luas penampang yang hubungannya yaitu sebagai berikut:
- Semakin panjang kawat penghantar, maka semakin besar hambatannya
- Semakn besar luas penampang kawat, makin kecil hambatannya dan makin kecil luas penampangnya, makin besar hambatannya.
- Bergantung pada jenis bahan kawat, bisa dilihat di tabel berikut
Jika panjang kawat kita lambangkan dengan l, hambatan jenis ρ, dan luas penampang kawat A. secara matematis, besar hambatan kawat dapat dituliskan:
Besar hambatan suatu pengantar tidak dipengaruhi oleh beda potensial antara ujung-ujung kawat. Beda potensial hanya mempengaruhi kuat arus yang melintas kawat penghantar. Jika kawat penghantar yang dilalui sangat panjang dan beda potensialnya kecil tentu kuat arusnya yang melewati kawat tersebut sangat kecil. Hal ini terjadi karena diperlukan energy yang besar untuk mengalirkan arus listrik pada kawat penghantar yang panjang.









No comments
Post a Comment